News, Decoded: Anthropic 시리즈 ③
특허 자산화를 통한 25억 달러 규모의 자금 조달 전략: IBM 특허 인수와 IP 담보 대출

특허 자산화를 통한 25억 달러 규모의 자금 조달 전략:
IBM 특허 인수와 IP 담보 대출
이전 칼럼(#1, #2)에서는 앤스로픽(Anthropic)이 자체적으로 구축한 안전 중심의 기술 체계와 아뎁트(Adept)로부터 인수한 에이전트 AI 관련 원천 특허들을 분석했습니다.
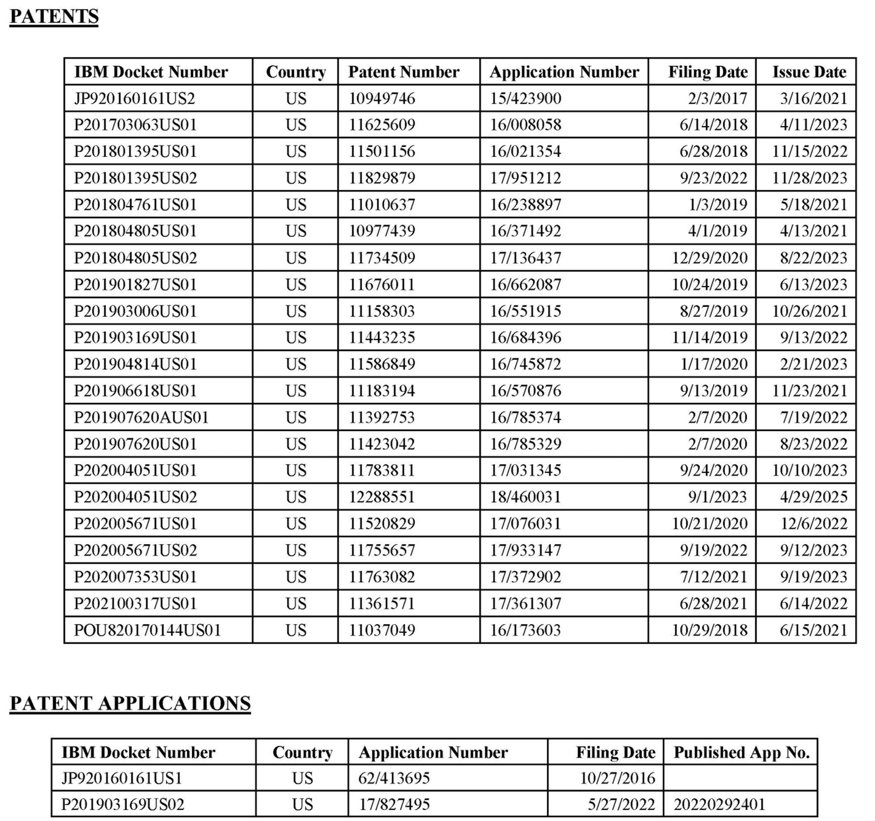
하지만 앤스로픽의 전체 포트폴리오를 조사해 보면, 이 외에도 22건의 추가적인 미국 특허가 식별됩니다. 이는 앤스로픽이 직접 출원한 것이 아니라, 글로벌 테크 기업인 IBM으로부터 양수받은 자산입니다. 이번 호에서는 이 특허들이 앤스로픽의 대규모 자금 조달 과정에서 어떤 역할을 했는지 분석해 보겠습니다.
1. IBM 특허 23건의 전략적 양수 (2025. 05. 07)
2025년 5월 7일, 앤스로픽은 IBM으로부터 총 23건(등록 특허 21건, 출원 중인 특허 2건)의 특허권을 일괄 양도받았습니다.

□ 양도 주체: IBM → Anthropic (앤스로픽)
□ 양도 대상: 별첨(Exhibit A)에 리스트업된 미국의 특허 및 특허 출원권 전체.
□ 포함된 권리: 특허 소유권뿐만 아니라, 누군가 이 특허를 침해했을 때 과거의 손해까지 포함해 소송을 제기할 수 있는 권리도 함께 넘어갑니다.
□ 제한 사항(권리 유보):
* 기존 권리 존중: IBM이 이 계약 이전에 이미 제3자에게 준 라이선스는 그대로 유지
* IBM의 사용권 유지: 자신들과 자회사들이 해당 특허를 계속 사용할 수 있는 라이선스는 남김
주목할 점은 양수 직후 앤스로픽이 보여준 행보입니다. 앤스로픽은 이 특허들을 단순한 기술 보완용으로 활용하는 데 그치지 않고, 기업 금융의 핵심 수단으로 활용했습니다.
2. IP 기반의 부채 조달(Debt Financing)과 담보 설정 (2025. 05. 14)
특허 양수 계약 체결로부터 정확히 일주일 뒤인 2025년 5월 14일, 앤스로픽은 모건 스탠리(Morgan Stanley)를 담보 관리인으로 하여 해당 특허들에 대한 담보권(Security Interest) 설정 통지서를 제출합니다.

자세히 보면, 양도 받은 특허 22건 외에 anthropic이 향후 취득할 자산/재산에 관한 권리도 포함한다는 매우 폭 넓은 담보 계약으로 해석됩니다. ("...all Patents of the United States of America, including those listed on Schedule I...")

향후 취득/자산에 대한 권리까지 담보로 설정할 만큼, anthropic 입장에서는 AI 모델 훈련을 위한 대규모 컴퓨팅 인프라 비용 및 운영 자금 확보의 중요성과 필요성이 강했던 것으로 생각됩니다.
□ 조달 규모: 약 25억 달러 (한화 약 3조 4천억 원)
□ 자산 유동화 전략: 신생 기업인 앤스로픽이 조 단위의 대규모 자금을 확보하기 위해, 금융권에서 가치를 인정받을 수 있는 IBM의 검증된 특허 자산을 매입하여 담보물로 활용한 것입니다.
결국, 앤스로픽은 특허 매입을 통해 기술적 기반을 다짐과 동시에, 자사 IP 포트폴리오의 자산 가치를 극대화하여 대규모 운영 자금을 확보하는 데 성공했습니다.
2025년 5월 중순, 외신(CNBC, Reuters 등)은 앤스로픽이 모건 스탠리를 포함한 주요 은행단으로부터 25억 달러 규모의 회전 신용 한도(Revolving Credit Facility)를 확보했다고 보도했습니다.

https://siliconangle.com/2025/05/16/anthropic-raises-2-5b-debt-finance-growth-investments/
3. 전략적 파트너십의 선행 조치 (2025. 10)
특허 양수와 담보 설정이 마무리된 후인 2025년 10월, IBM과 앤스로픽은 공식적인 ‘전략적 파트너십’을 발표했습니다.
시점상 5월에 진행된 특허 거래는 이 파트너십을 위한 사전 작업이었던 것으로 분석됩니다. 양수받은 23건의 특허는 양사 간의 기술적 결합력을 높이는 동시에, 앤스로픽이 IBM의 에코시스템에 깊숙이 관여할 수 있는 법적 근거가 되었습니다.

https://newsroom.ibm.com/2025-10-07-2025-ibm-and-anthropic-partner-to-advance-enterprise-software-de
4. 시장 내 경쟁 관계의 변화: ‘Claude Code’ 출시와 IBM의 수익 모델 충돌 (2026. 02)
그러나 이러한 협력 관계 뒤에는 냉정한 시장 논리가 작동하고 있습니다. 2026년 2월, 앤스로픽이 메인프레임 코드를 자동 현대화하는 ‘Claude Code’를 출시하면서 양사 간의 이해관계가 충돌하기 시작했습니다.
앤스로픽의 새로운 도구는 IBM의 주요 수익원 중 하나인 기존 시스템(Legacy System) 유지보수 및 컨설팅 사업 영역을 직접적으로 대체하는 성격을 띠고 있습니다. IBM으로부터 확보한 특허와 자본을 바탕으로 성장한 앤스로픽이, 역설적으로 IBM의 핵심 사업 시장을 잠식하는 경쟁자로 부상한 것입니다. (당일 IBM 주가 폭락)
[스타트업을 위한 전략적 인사이트]
1. IP는 기술의 보호 수단을 넘어 '금융 자산'
많은 스타트업이 특허를 '방어용'이나 '마케팅용'으로만 생각합니다. 하지만 앤스로픽은 IBM의 특허를 매입해 이를 담보로 25억 달러(약 3.4조 원)를 조달했습니다.
[Insight] 자금 조달이 필요한 스타트업이라면, 자사 기술 외에도 금융 가치가 높은 원천 특허를 전략적으로 확보하여 IP 금융에 활용하는 전략이 필요합니다. 국내에도 IP담보/IP보증/IP투자 등 다양한 금융 제도가 존재합니다.
2. 'R&D(자체 개발)'보다 빠른 'IP M&A'의 효용성
앤스로픽이 IBM 특허를 확보하고 담보를 설정하기까지 걸린 시간은 단 일주일이었습니다. 만약 직접 출원하여 등록까지 기다렸다면 최소 2~3년이 소요됐을 것입니다.
[Insight] 핵심 기술 공백을 메우거나 대규모 자금 조달이 급한 상황에서는 자체 개발보다 특허 매입이 훨씬 효율적인 전략일 수 있습니다. 특히 대기업의 유휴 특허나 매물로 나온 특허 패키지를 인수하는 것은 기술 격차 해소와 재무적 신뢰도 확보를 동시에 달성하는 'Fast-track'이 됩니다.
3. 전략적 파트너십에서의 '기술 주권' 확보
앤스로픽은 IBM과 파트너십을 맺기 전, 이미 IBM의 특허 일부를 매입하여 소유권을 확보했습니다. 덕분에 이후 'Claude Code'와 같이 IBM의 사업 영역과 충돌할 수 있는 서비스를 출시할 때도 법적 제약에서 상대적으로 자유로울 수 있었습니다.
[Insight] 대기업과 협력할 때 '기술 사용권(License)'에 만족하지 말고, 핵심이 되는 IP는 가급적 '소유권(Ownership)'을 가져와야 합니다. 소유권을 가져와야만 향후 기업의 피벗이나 사업 확장 시 파트너사의 간섭 없이 독립적인 결정권을 행사할 수 있습니다.
Author
Featured Posts















